1 测量重复性所引入的标准不确定度 (A 类标准不确定度 )
选择5人使用同一台巴氏硬度计进行巴氏硬度试验, 试样为H Ba55 标准硬度块, 每人重复在相同条件下连续测量,各得到5个试验结果, 最终得到5组测量列, 并算出硬度平均值和单次标准差, 测量结果见表 1。

单组硬度平均值:
单次标准差:
合并样本标准差:
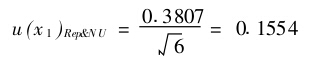
由式 ( 3)即可算出: Sp = 0.3807
用合并样本标准差 Sp 计算不确定度, 可以提高评定结果的可靠性。但合并样本标准差 Sp 是否可用, 决定于测量状态是否稳定, 这必须通过下面的判断来决定。首先按式 ( 4)计算检验样本标准差Sj ( j= 1 ,2, ……, m )的标准差 R ( s):
计算得:σ ( s) = 0.0754
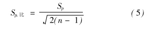
再按式 ( 5) 计算试验样本标准差 S j ( j = 1, 2 ,……,m )的估计标准差估计值 S p, 比 :

计算得:Sp, 比 = 0.1346
当σ≤Sp, 比 时, 表明测量状态稳定, 单次标准差Sj 的不确定度可以忽略, 此时采用合并样本标准差Sp 来评定标准不确定度分量。
此处 σ= 010754≤Sp, 比 = 0.1346 即测量状态稳定, 可以采用合并样本标准差 Sp 来评定标准不确定度分量。实际测量时, 是以 6次测量的算术平均值作为材料的平均硬度值而报出结果, 因此测量重复性引入的标准不确定度分量为:

计算得:
自由度:V sp = m ( n - 1) = 5 * ( 5 - 1) = 20
A 类不确定度分量: ua = u (x 1 ) Rep&N U = 0.2509 |