巴氏硬度计 压力试验机控制
计量标准器类
  邵氏硬度计检定装置
  千斤顶检定装置
  燃油加油机智能检定装置
  全自动回弹仪检定装置
控制器类
  丰仪牌温湿度控制器
  丰仪牌抗渗仪控制器
  丰仪牌养护箱控制器
  丰仪牌路强仪控制器
more+    
 
您当前所在的位置:首页 >> 当测力仪百分表起始点示值不为零时的温度修正公式
当测力仪百分表起始点示值不为零时的温度修正公式
发布时间:2015.02.05  浏览次数:
 

温度修正公式

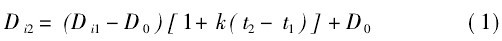
  (1)当测力仪百分表起始点示值不为零时的温度修正公式为:

式中:Di2—修正后的测力仪示值;

  Di1—检定证书中给出的测力仪示值;

  D0—测力仪起始点示值(测力仪未施加荷载时百分表示值);

  t2—使用测力仪时的温度℃;

  t1—测力仪检定时的温度℃;

k—标准测力仪温度修正系数,当测力仪的弹性体由合金钢含量不超过7%的钢材制造时,k=0·00027/℃。当测力仪的弹性体由其他材料制造或为电量输出的测力仪时, k值应由测力仪制造厂提供或通过试验测定。

 

 
 

公司地址:无锡市新吴区菱湖大道228号天安智慧城3-508、3-509 技术支持:易时代网络
电话:0510-82890600    传真:0510-82803484
Copyright All Rights Reserved 江苏丰仪同创互联科技有限公司

分享到: