巴氏硬度计 压力试验机控制
计量标准器类
  邵氏硬度计检定装置
  千斤顶检定装置
  燃油加油机智能检定装置
  全自动回弹仪检定装置
控制器类
  丰仪牌温湿度控制器
  丰仪牌抗渗仪控制器
  丰仪牌养护箱控制器
  丰仪牌路强仪控制器
more+    
 
您当前所在的位置:首页 >> 直线拟合法工作直线图
直线拟合法工作直线图
发布时间:2015.04.03  浏览次数:
 

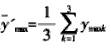
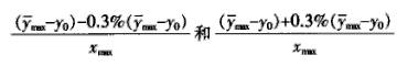
工作直线如图1所示

选择I台性能稳定的材料试验机,在重复性条件下连续测量3次,计算测力仪在额定负荷下的进程示值算术平均值和各负荷点的重复性误差Ri,核查结果应满足:直线斜率介于之间,重复性误差Ri≤0.3%。

 
 

公司地址:无锡市新吴区菱湖大道228号天安智慧城3-508、3-509 技术支持:易时代网络
电话:0510-82890600    传真:0510-82803484
Copyright All Rights Reserved 江苏丰仪同创互联科技有限公司

分享到: